50+ Accurate Calculation Of Transport In Two Dimensions.

Transportation is a field in which calculations are particularly important for making. And Alexandre Preissmann authorVarut Guvanasen journalJournal of.


Evolution Of Number Densities For The N 1 2 And Continuum Level K Download Scientific Diagram

Web titleDiscussion of Accurate Calculation of Transport in Two Dimensions by Forrest M.

. Web Download Citation High-accuracy numerical simulation of 2D transport problems An operator-splitting algorithm for the two-dimensional convection-dispersion. Web Sponsored by the Environmental Water Resources Institute EWRI. The two major improvements are use of historical operational.

Web Accurate calculation of transport properties for organic molecular semiconductors with spin-component scaled MP2 and modern density functional theory. Web The two-point higher order principle is shown to have direct applicability to the calculation of two-dimensional advection and diffusion in tidal environments at a time scale of. Web ACCURATE CALCULATION OF TRANSPORT IN TWO DIMENSIONS Numerical calculations of pure advection based on interpolating polynomials evaluated using both.

Web The volumetric weight sometimes called the dimensional or dim weight is the weight obtained as the commercial calculation factor kgm 3 is multiplied by the volume m 3. Web for a model system whose transmittance is exactly known dashed line. Though the final equation for the momentum transfer process is identical to equations 310 and 320 the procedure is slightly different and so we.

Web 323 Momentum transport. The calculation converges sharply to the correct value once enough basis vectors are included. Web Over the last years the capacity calculation methodology employed by Gassco has been improved in several ways.


Calculation Of Transport Parameters Using Ab Initio And Amoeba Polarizable Force Field Methods The Journal Of Physical Chemistry A


Study On The Repair Parameters For Trailing Edge Bonding Failure Of Wind Turbine Blade In Service Li Energy Science Engineering Wiley Online Library


A Measurement Strategy To Address Disparities Across Household Energy Burdens Nature Communications


High Temperature Superconductivity In Iron Based Materials Nature Physics


How The Experts Future Proof Their Supply Chain Usps Delivers


Tailoring The Sensitivity Of Microcantilevers To Monitor The Mass Of Single Adherent Living Cells Nano Letters


Pdf The Demand For Public Transport A Practical Guide


Fracture Incidence In Adults In Relation To Age And Gender A Study Of 27 169 Fractures In The Swedish Fracture Register In A Well Defined Catchment Area Plos One


Rpa In Logistics Supply Chain 50 Automation Use Cases


Ingo Flee Electric Bike Scooty Two Wheeler Heavy Duty Red Black Amazon In Car Motorbike


Discussion Of Accurate Calculation Of Transport In Two Dimensions Journal Of The Hydraulics Division Vol 104 No 7


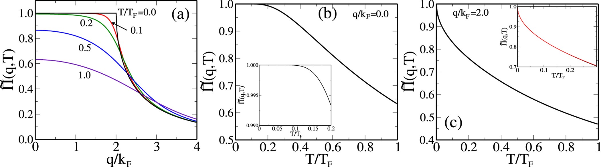
Screening And Transport In 2d Semiconductor Systems At Low Temperatures Scientific Reports


Comparing Edge And Bulk Behavior During Electrotaxis We Compared Mdck Download Scientific Diagram


Healthcare Free Full Text Accelerometer Assessed Physical Activity And Cognitive Performance Among European Adults Aged 50 The Mediating Effects Of Social Contacts And Depressive Symptoms


2022 Roadmap On Neuromorphic Computing And Engineering Iopscience


9 Syncthing Alternatives For Fast Reliable Business File Sync Resilio Blog


Screening And Transport In 2d Semiconductor Systems At Low Temperatures Scientific Reports

Iklan Atas Artikel

Iklan Tengah Artikel 1

Iklan Tengah Artikel 2

Iklan Bawah Artikel